定南縣月子加油站 原址改建項目
發布時間:2020-07-23
|
安全評價單位名稱 |
定南縣月子加油站 |
||
|
項目名稱: |
原址改建項目安全驗收評價報告 |
||
|
簡 介: |
|||
|
安全評價項目組長: |
李永輝 |
||
|
技術負責人: |
馬 程 |
||
|
過程控制負責人: |
檀廷斌 |
||
|
評價報告編制人: |
李永輝 |
||
|
報告審核人: |
林大建 |
||
|
參與評價工作的安全評價師: |
李永輝、陳 浩 |
||
|
注冊安全工程師: |
劉志強、李永輝 |
||
|
技術專家: |
劉志強,化工工藝工程師 |
||
|
到現場開展安全評價工作的人員名單: |
劉志強 |
||
|
時間和主要任務: |
完成時間:2020年7月23日;
主要任務:安全驗收評價報告; |
||
|
評價報告: |
|||
|
一、評價對象及范圍:
定南縣月子加油站二級加油站新建工程項目的主體裝置和輔助設施,包括經營過程中的危險和危害因素控制措施和工藝、設備設施的安全可靠性以及安全管理方面的組織、機構、人員、防護設施、作業環境及管理制度等安全經營條件的符合性評價。具體范圍如下:
1.2層站房1棟及加油罩棚
二、項目基本情況:
⑴周邊環境
該站位于江西省贛州市定南縣嶺北鎮月子圩S456西北側,站區東南面為S456省道。西北面為民房(三類保護物),南面站區圍墻外20m處有2處民房(三類保護物),北面為有一處民房(三類保護物)。站內西北面有架空電纜(有絕緣層),電纜距離最近的設備儲罐水平距離大于5米。
卸油工藝:油罐車行駛至加油站內密封卸油口停車處,利用油罐車與地下儲油罐的高位差,采用密閉式卸油。采用油氣回收系統,在油罐車卸油過程中,將原來儲油罐內散溢的油氣,通過油氣回收地下工藝管線及卸車軟管重新收集至油罐車內,實現卸油與油氣等體積置換。其工藝流程如下圖:
卸油油氣
卸油工藝流程圖
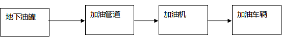
加油工藝:加油作業時,采用潛油泵提供的動力,油品通過加油管道至加油機,進入受油容器。同時,加汽油作業時,有油氣回收回收系統,汽油蒸汽通過油氣回收管道回至汽油罐。具體流程見下圖:
柴油加油工藝流程圖
汽油加油工藝流程圖
三、評價結論
|
|||
|
提交時間: |
2020年7月23日 |
||
|
現場影像資料 |
|||






